PCB设计

PCB设计“生死局”:破解单点接地的“人车分流”之道,告别EMC干扰

作者:UG商城 发布时间:2026/3/31

在纷繁复杂的 PCB 电路王国中,如果说时钟信号是心脏的脉搏,那么(GND)就是流淌全身的血液。作为一家深耕行业多年的 PCBA 制造专家,我们见过太多设计精良却因“接地”不当而报废的案例。

接地,是 PCB设计 中最基础却最易犯错的艺术。很多工程师常挂在嘴边的“模拟电路必须单点接地”、“低速单点,高速多点”,究竟藏着怎样的玄机?今天,我们不堆砌枯燥公式,而是用解剖刀划开表象,直击 PCB 接地的核心权衡。

一、 两座“孤岛”:并联与串联的博弈

在 PCB Layout 的世界里,单点接地主要分为两大流派,它们如同小区的物业管理模式,决定了电流回流的秩序。

1. 并联单点接地:理想的乌托邦

这是教科书级别的理想模型。模拟地、数字地、功率地……各路“诸侯”拥有完全独立的地线通道,最终只在电源的公共点(通常是电容两端)汇合。

  • 优势: 各电路模块的地电位只取决于自身电流,互不干扰。这解决了 PCB 设计中最头疼的“公共阻抗耦合”问题。

  • 代价: 需要更多的布线层数或空间,增加了 PCBA 制造成本。

PCB设计中的并联单点接地

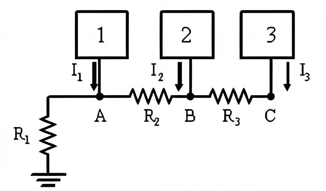
2. 串联单点接地:现实的妥协

这是工程中最常见的“偷懒”手法。所有电路共用一段“主干道”接地。

  • 隐患: 靠近接地点的模块(如末级功放)的地电位,会被前级(如信号输入)的电流波动所调制。

  • 公式解读:设地线阻抗为 RR,若电流 I1,I2,I3I1,I2,I3 流经公共阻抗,则 Vnoise=(I1+I2+I3)×RVnoise=(I1+I2+I3)×R。这就是“一点串扰”放倒整个系统的数学原理 

PCB设计中的串联单点接地

二、 暗流涌动:为何必须“分流”?

在 PCBA 加工过程中,如果忽视地线设计,成品将面临两大隐形杀手:

1. 地环路干扰 —— “幽灵回路”

如果你在 PCB 布线时形成了闭合的环路,外界磁场(如工频50Hz变压器、电机)就会在环路中感应出电流。

  • 症状: 音频设备出现“滋滋”底噪;高精度ADC采集数据跳变。

  • 根源: 根据法拉第电磁感应定律,变化的磁通量在闭合环路中产生电动势。

  • 对策: 并联单点接地从物理结构上杜绝了环路的闭合。专业的 PCB设计 软件(如Altium Designer)中的 Automatically Remove Loops 功能,正是为了强行破开这些不必要的环路。

PCB设计中的地环路应对策略

2. 地线耦合干扰 —— “人车不分流”

我曾把一个没有规划地线的 PCB 比作一个“没有人车分流”的混乱小区。

  • 高速/大电流模块(汽车): 电机驱动、电源开关、数字逻辑。它们速度快、能量足,需要宽阔的“车道”。

  • 低速/小信号模块(行人): 传感器、运放、音频模拟前端。它们脆弱敏感,需要安静的“人行道”。

并联单点接地 做的就是“人车分流”:车道(功率地)极宽,阻抗低,不怕堵车;人行道(模拟地)虽窄,但极其干净。两者只在小区门口(系统电源接地点)交汇。
而 串联接地 则相当于让行人和汽车在一条狭窄的马路上混行,结果必然是敏感的模拟信号被数字噪声“碾压”。

三、 频率的审判:单点接地的“保质期”

既然并联单点接地这么好,为什么不是所有板子都用?

答案在于“阻抗”与“波长”。

在低频电路(通常 f<1MHz)中,导线的阻抗主要体现为电阻 R。此时,单点接地能完美杜绝干扰。
但当频率升高至 f>10MHz时,地线的感抗 XL=2πfL将占据主导 

  • 对于高频信号,即使是一根很短的接地线,也会呈现出巨大的感抗。

  • 如果此时还执着于将所有地线汇接到一个点,过长的地线会像天线一样辐射能量,导致 EMC 失败。

  • 高频规则: 当信号波长与接地线长度可比拟时,必须采用多点接地,即通过过孔将地线直接连接到低阻抗的地平面(Ground Plane),以提供最小电感回流路径 

四、 实战落地:寻找你的“白月光”

作为 PCB 设计工程师,你不能死守教条。针对不同产品,策略如下:

  1. 纯音频/模拟电路(低频): 死磕并联单点接地。这是你的“白月光”,不惜成本也要保证各级地线独立汇流。

  2. 混合信号电路(MCU+ADC):

    • 将 PCB 分割为模拟区和数字区。

    • 在 ADC 芯片下方进行单点连接(通常使用0欧电阻或磁珠连接)。

    • 遵循“20H准则”:电源层相对地层内缩20H(H为介质厚度),以抑制边缘辐射 

  3. 多层板(4层及以上): 设立独立的地平面。此时,利用过孔就近接地(多点接地)往往比长距离的单点接地更有效。

五、 制造与询盘:从设计到量产的最后一步

再完美的接地理论,最终都要落实到 PCB 的物理制造和 PCBA 贴片组装中。地平面的完整性直接决定了产品的信号完整性(Signal Integrity)。

当你完成了上述复杂的 PCB Layout 设计后,选择一家能理解你设计意图、具备高频电路生产经验的 supplier 至关重要。想要获取高质量的 PCB prototype 或 PCBA quote?请移步并点击PCB在线下单页面,按系统提示填好您的各项参数并上传您的Gerber文件。

结语

接地的本质,是对电流回流路径的规划。它既是科学,也是权衡的艺术。在这个充满噪声的世界里,做好 PCB 的“人车分流”,不仅能让你的电路安静下来,更是迈向顶级硬件设计师的必经之路。


  • 商城首页
  • 在线下单
  • PCB商品
  • 制程能力
  • 服务支持
  • 新闻资讯
  • 关于UG商城